What Does This Mean 3 . the emoticon <3 means 'love' or 'i love you.' it is an emoticon of a heart on its side. :3 is an emoticon used to represent a coy smile. — decoding the meaning of <3. It resembles a heart turned sideways and conveys warmth, appreciation, and fondness. Here we’ll explain its meaning and how to use it. See examples of how to use it in texts. — what does <3 mean? <3 is a typographical representation of a heart, used to convey love and similar warm feelings. It has become a shorthand way to represent. Just tilt your head 90° to the right and you’ll see a heart shape. — <3 is a symbol of love and affection in texting. — actually, <3 is a red heart symbol. <3 is a love symbol. — “:3” is commonly used in text messaging and social media platforms. The <3 symbol looks like a heart.
from exokqsfuz.blob.core.windows.net
<3 is a typographical representation of a heart, used to convey love and similar warm feelings. — what does <3 mean? :3 is an emoticon used to represent a coy smile. — actually, <3 is a red heart symbol. The <3 symbol looks like a heart. It resembles a heart turned sideways and conveys warmth, appreciation, and fondness. Here we’ll explain its meaning and how to use it. — “:3” is commonly used in text messaging and social media platforms. <3 is a love symbol. — decoding the meaning of <3.
What Does D.o.l.l.a Stand For at Jessie Salas blog
What Does This Mean 3 <3 is a typographical representation of a heart, used to convey love and similar warm feelings. — decoding the meaning of <3. See examples of how to use it in texts. <3 is a typographical representation of a heart, used to convey love and similar warm feelings. It resembles a heart turned sideways and conveys warmth, appreciation, and fondness. :3 is an emoticon used to represent a coy smile. It has become a shorthand way to represent. — what does <3 mean? Here we’ll explain its meaning and how to use it. — actually, <3 is a red heart symbol. Just tilt your head 90° to the right and you’ll see a heart shape. — <3 is a symbol of love and affection in texting. <3 is a love symbol. The <3 symbol looks like a heart. the emoticon <3 means 'love' or 'i love you.' it is an emoticon of a heart on its side. — “:3” is commonly used in text messaging and social media platforms.
From worksheetlistska.z21.web.core.windows.net
Mean Math How To Find What Does This Mean 3 See examples of how to use it in texts. :3 is an emoticon used to represent a coy smile. — “:3” is commonly used in text messaging and social media platforms. — <3 is a symbol of love and affection in texting. The <3 symbol looks like a heart. Just tilt your head 90° to the right. What Does This Mean 3.
From www.pinterest.com.au
Median, Mode, Mean and Range K8 School Lessons What Does This Mean 3 See examples of how to use it in texts. <3 is a typographical representation of a heart, used to convey love and similar warm feelings. It resembles a heart turned sideways and conveys warmth, appreciation, and fondness. It has become a shorthand way to represent. :3 is an emoticon used to represent a coy smile. — what does. What Does This Mean 3.
From learningchirachw.z13.web.core.windows.net
What Are These Symbols Called In Math What Does This Mean 3 <3 is a love symbol. — <3 is a symbol of love and affection in texting. — “:3” is commonly used in text messaging and social media platforms. See examples of how to use it in texts. the emoticon <3 means 'love' or 'i love you.' it is an emoticon of a heart on its side. . What Does This Mean 3.
From hinative.com
"정말루?" what does the "루" mean ? i understand the meaning of the word What Does This Mean 3 :3 is an emoticon used to represent a coy smile. <3 is a typographical representation of a heart, used to convey love and similar warm feelings. — <3 is a symbol of love and affection in texting. — what does <3 mean? — actually, <3 is a red heart symbol. — “:3” is commonly used. What Does This Mean 3.
From freemathworksheetsproblems.blogspot.com
What Do Race Car Drivers Like To Do Math Worksheet Math Drills What Does This Mean 3 Just tilt your head 90° to the right and you’ll see a heart shape. It has become a shorthand way to represent. Here we’ll explain its meaning and how to use it. The <3 symbol looks like a heart. <3 is a love symbol. :3 is an emoticon used to represent a coy smile. — actually, <3 is. What Does This Mean 3.
From www.numerade.com
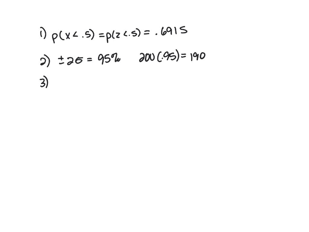
SOLVED 1. What is the probability that an observation taken from a What Does This Mean 3 :3 is an emoticon used to represent a coy smile. — actually, <3 is a red heart symbol. <3 is a typographical representation of a heart, used to convey love and similar warm feelings. It resembles a heart turned sideways and conveys warmth, appreciation, and fondness. — <3 is a symbol of love and affection in texting.. What Does This Mean 3.
From www.deviantart.com
Number 3 by dotdeeanddel on DeviantArt What Does This Mean 3 — “:3” is commonly used in text messaging and social media platforms. Just tilt your head 90° to the right and you’ll see a heart shape. the emoticon <3 means 'love' or 'i love you.' it is an emoticon of a heart on its side. It resembles a heart turned sideways and conveys warmth, appreciation, and fondness. <3. What Does This Mean 3.
From www.eslprintables.com
What does it mean? 3 ESL worksheet by spinney What Does This Mean 3 Just tilt your head 90° to the right and you’ll see a heart shape. <3 is a love symbol. — <3 is a symbol of love and affection in texting. — “:3” is commonly used in text messaging and social media platforms. — what does <3 mean? It has become a shorthand way to represent. —. What Does This Mean 3.
From learningschoolpedology.z14.web.core.windows.net
What Does How Many More Mean In Math Term What Does This Mean 3 Here we’ll explain its meaning and how to use it. the emoticon <3 means 'love' or 'i love you.' it is an emoticon of a heart on its side. — what does <3 mean? It has become a shorthand way to represent. The <3 symbol looks like a heart. — decoding the meaning of <3. <3 is. What Does This Mean 3.
From ar.inspiredpencil.com
Math Terms For The Alphabet What Does This Mean 3 — actually, <3 is a red heart symbol. — “:3” is commonly used in text messaging and social media platforms. It has become a shorthand way to represent. — <3 is a symbol of love and affection in texting. — what does <3 mean? <3 is a typographical representation of a heart, used to convey love. What Does This Mean 3.
From brainly.in
Mode +2/3 (Mean Mode) = a. Mode b. Medianc. Meand. None of these What Does This Mean 3 <3 is a typographical representation of a heart, used to convey love and similar warm feelings. :3 is an emoticon used to represent a coy smile. — “:3” is commonly used in text messaging and social media platforms. — decoding the meaning of <3. — actually, <3 is a red heart symbol. The <3 symbol looks. What Does This Mean 3.
From www.youtube.com
DevOps & SysAdmins In the output for netstat what does the [] mean What Does This Mean 3 Just tilt your head 90° to the right and you’ll see a heart shape. the emoticon <3 means 'love' or 'i love you.' it is an emoticon of a heart on its side. — what does <3 mean? — actually, <3 is a red heart symbol. See examples of how to use it in texts. <3 is. What Does This Mean 3.
From printablelistgrey.z21.web.core.windows.net
Practice Roman Numerals What Does This Mean 3 — actually, <3 is a red heart symbol. Just tilt your head 90° to the right and you’ll see a heart shape. <3 is a typographical representation of a heart, used to convey love and similar warm feelings. It has become a shorthand way to represent. The <3 symbol looks like a heart. — what does <3 mean?. What Does This Mean 3.
From www.aiophotoz.com
First Grade Math Vocabulary Definitions And Easy Explanation For Kids What Does This Mean 3 — decoding the meaning of <3. See examples of how to use it in texts. — what does <3 mean? Just tilt your head 90° to the right and you’ll see a heart shape. — <3 is a symbol of love and affection in texting. — “:3” is commonly used in text messaging and social media. What Does This Mean 3.
From skysmart.ru
Глагол to mean — 3 формы, значения, перевод и примеры использования 🏫 What Does This Mean 3 — <3 is a symbol of love and affection in texting. <3 is a love symbol. — “:3” is commonly used in text messaging and social media platforms. — decoding the meaning of <3. — actually, <3 is a red heart symbol. See examples of how to use it in texts. Here we’ll explain its meaning. What Does This Mean 3.
From www.reddit.com
Wait a minute, what do you mean 3? r/memes What Does This Mean 3 Just tilt your head 90° to the right and you’ll see a heart shape. — <3 is a symbol of love and affection in texting. It has become a shorthand way to represent. It resembles a heart turned sideways and conveys warmth, appreciation, and fondness. — what does <3 mean? <3 is a love symbol. — decoding. What Does This Mean 3.
From in.pinterest.com
Mean, Median, Mode, and Range. Math resources, Studying math, Basic What Does This Mean 3 <3 is a typographical representation of a heart, used to convey love and similar warm feelings. <3 is a love symbol. — decoding the meaning of <3. :3 is an emoticon used to represent a coy smile. It has become a shorthand way to represent. It resembles a heart turned sideways and conveys warmth, appreciation, and fondness. . What Does This Mean 3.
From lessonsforenglish.com
Math Symbols and Meanings Lessons For English What Does This Mean 3 the emoticon <3 means 'love' or 'i love you.' it is an emoticon of a heart on its side. It resembles a heart turned sideways and conveys warmth, appreciation, and fondness. :3 is an emoticon used to represent a coy smile. — what does <3 mean? The <3 symbol looks like a heart. See examples of how. What Does This Mean 3.